UKUK USUSIndiaIndia

Teaching by Asking!

Join Us
Lucy
Ask the AI Tutor
Need help with Organic Chemistry 3? Ask our AI Tutor!
Lucy AI Tutor - Lucy
Connecting with Tutor...
Please wait while we establish connection
Lucy
Hi! I'm Lucy, your AI tutor. How can I help you with Organic Chemistry 3 today?
now
Organic Chemistry 3
Organic compounds all contain carbon.

Organic Chemistry 3

The two main branches of chemistry are inorganic and organic chemistry. Organic chemistry is the study of the properties and reactions of the millions of compounds that can be made from carbon (with a few exceptions like carbon dioxide). Inorganic chemistry is concerned with the rest! When the first organic chemicals were discovered, scientists believed that they could only be obtained from living or once living organisms; they did not have the knowledge or techniques to make these complex compounds in their laboratories. Most of them believed the theory of vitalism which claimed that organic chemicals posessed something called a vital force, contained in all living things and therefore could not be made from inorganic compounds or elements.

German chemist Friedrich Wöhler believed that a chemical was a chemical and could therefore be made. In 1824, he succeeded in making an organic chemical called oxalic acid (you are probably aware of this as the poisonous acid in rhubarb) and 4 years later, he synthesised the chemcal urea from inorganic reagents. Despite this, many top scientists still supported the unproven theory of vitalism. In 1845, Hermann Kolbe, a respected German scientist, repeated an experiment in which acetic acid was synthesised from inorganic chemicals. This was the point when the old theory of vitalism finally lost support, however, the idea of organic and inorganic chemistry has remained with us to this day. Nowadays, large chemical companies and research students in universities produce increasingly complex organic chemicals including medicines.

For the GCSE, you need to be able to recognise some families of organic chemicals and be able to name a few of their members. Whilst you were studying the chemistry of crude oil, you came across two families of hydrocarbons (chemicals containing only hydrogen and carbon), the alkenes and the alkanes. Alkanes are saturated, that is to say, there are no double bonds between any of the carbon atoms. Alkenes are unsaturated so they have at least one double bond between a pair of carbon atoms.

The other families you need to be able to recognise are the alcohols, the carboxylic acids and the esters. These are organic chemicals that contain oxygen as well as hydrogen and carbon. A functional group is a particular arrangement of atoms that gives an organic compound its chemical charateristics.

Hydrocarbons don't have functional groups. Alcohols have the functional group -OH in which a carbon atom is joined by a single covalent bond to an oxygen atom. The oxygen atom in its turn is joined by a single covalent bond to a hydrogen atom i.e. C-O-H. Carboxylic acids all have the -COOH functional group in which a carbon atom is attached by a double covalent bond to an ogygen atom and by a single covalent bond to an OH functional group. Esters are formed when alcohols and carboxylic acids react, the functional group is -COOC- which consists of a carbon atom joined by a double covalent bond to an oxygen atom and by a single covalent bond to an another oxygen atom which is linked to another carbon atom by a single covalent bond . Phew, that sounds complicated but it is dead easy to spot when you see it written out as a structural formula. The oxygen atom links the original carbon chains of the starting materials, making esters larger molecules than their starting materials.

This quiz is about recognising and naming organic compounds from structural formulae.

Click on any image to see a larger image.
1 .
What type of organic compound is shown in the diagram?
Alkane
Alkene
Ester
Carboxylic acid
Carbon and hydrogen only and only single C-C bonds
2 .
What type of organic compound is shown in the diagram?
Alkane
Alcohol
Carboxylic acid
Ester
The -COOH gives you the answer here
3 .
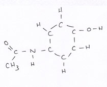
The picture shows a molecule of an organic compound, paracetamol. What is its molecular formula?
C8H9NO2
C8H8NO2
C6H9NO2
C8H9NO
Count up the number of each atom in the molecule
4 .
This diagram shows a molecule of aspirin. What is its molecular formula?
C9H8O3
C8H9O4
C9H8O4
C9H7O4
Can you spot the the carboxylic functional group in this molecule?
5 .
What type of organic compound is shown in the diagram?
Alkane
Alcohol
Carboxylic acid
Ester
The carbon chains of the original acid and alcohol are linked by one of the oxygen atoms
6 .
Name the compound shown in the diagram.
Butane
Butene
Butanol
Propene
4 carbons tells you that the name must begin with the prefix 'but' and the the double bond shows you that it is an alkene
7 .
Name the compound shown in the diagram.
Butane
Butene
Butanol
Propanol
The -OH group tells you it is an alcohol and the 4 carbon atoms give you the prefix 'but'
8 .
Name the compound shown in the diagram.
Pentane
Pentanoic acid
Pentanol
Butanoic acid
Pent (= 5 carbons) plus the COOH functional group leads you to the correct answer
9 .
Name the compound shown in the diagram.
Ethyl propanoate
Propyl ethanoate
Methyl propanoate
Ethyl butanoate
This has an odour that resembles pineapples
10 .
Name the ester produced when the compound in the diagram is reacted with ethanol.
Butyl methanoate
Pentyl ethanoate
Ethyl pentanoate
Methyl butanoate
The alcohol gives you the first part of the name of an ester, the second part comes from the name of the original carboxylic acid
Author:  Kate Gardiner (Chemistry Educator & GCSE Quiz Writer)

© Copyright 2016-2025 - Education Quizzes
Work Innovate Ltd - Design | Development | Marketing